关于印发《汕尾红海湾经济开发区市政专项规划(2025-2035年)》的通知
汕红管〔2025〕57号
市城区人民政府,市直有关单位、市属有关企业:
《汕尾红海湾经济开发区市政专项规划(2025-2035年)》已经市人民政府同意,现印发给你们,请认真组织实施。实施过程中遇到的问题,请径向红海湾经济开发区管理委员会、市住房和城乡建设局反映。
广东汕尾红海湾经济开发区管理委员会 汕尾市住房和城乡建设局
2025年12月31日
汕尾红海湾经济开发区市政专项规划(2025-2035年)
第一篇总 则
第一条 在省委、省政府“制造业当家”战略指引下,为全面贯彻落实汕尾“西承东联桥头堡,东海岸重要支点”的发展定位,汕尾市积极引入重大产业项目,探索新能源汽车与新能源供给的有机结合。红海湾作为全市重要产业平台,是承接新能源汽车等新兴产业的重要片区。为支持并加快红海湾绿色制造产业园规划建设工作,完善市政基础设施配套,按照市委、电影天堂 的部署,红海湾经济开发区管理委员会和汕尾市住房和城乡建设局联合组织编制《汕尾红海湾经济开发区市政专项规划(2025-2035年)》(以下简称《规划》)。
第二条 规划范围:红海湾经济开发区全域,土地面积110平方千米,包含田墘、遮浪和东洲三个街道。
第三条 规划年限:2025-2035年,其中近期建设规划期限至2027年。
第四条 规划内容:包含道路、竖向、给水、污水、雨水、电力、通信、燃气、消防、环卫、管线综合等11个专项规划。
第五条 规划思:《规划》编制坚持系统性、科学性、前瞻性、韧性和可操作性的原则,以国土空间总体规划为基础,以已批控规为校核,并吸纳相关专项规划的成果,融合已建、在建或已开展前期工作的工程设计资料,结合红海湾绿色制造产业园的需求开展编制,科学评估市政设施规划和建设情况,结合案例分析和先进经验,优化调整既有规划,深入解决城市规划与工程建设的衔接问题、堵点难点问题,统筹布局各项市政基础设施,面向实施合理安排分期建设,有效支撑红海湾经济开发区的建设。规划期内,若“国土空间总体规划体检评估和动态调整试点”等工作对永久基本农田等限制因素完成调整或相关控规对地块进行优化,路网和市政设施的规划设计可根据最新建设条件进行适当优化调整。
第二篇 道路工程专项规划
第六条 道路工程规划目标
积极落实粤东地区区域发展和绿色制造产业园建设需要,打造与“国际化临港经济区,世界级滨海旅游区”城市愿景相适应的“通道快捷、安全高效、品质优越”的道路交通系统。努力实现“道路系统稳定高效、客货合理分流、出行体验良好”的发展目标。
第七条 道路网总体结构
重点构建“两环三通道”的骨架路网,以主干路为主体,以次干路及专用通道为补充,规划形成紧密衔接重要交通设施的客货交通网络,实现高效互联互通;打造与空间拓展和功能布局优化相匹配的客货独立通道,出行安全有序;改善道路线形,优化道路断面,塑造高品质的道路出行环境。
第八条 道路网层次与功能
汕尾红海湾经济开发区的道路网分为三类通道。
一是货运通道:构建环线货运通道,快速通达高速、港口、火车站、机场,实现货运的海陆空经济高效运输。通过新兴路、新兴路专用匝道(连通产业园一、二期)、进港大道以及连港路等专用通道,形成产业园、高速、码头互联互通的快速货运通道;通过G236改线连通新兴路和连港路,构建环形货运通道。
二是通勤通道:构建环园区的骨架道路网,保障员工便捷通勤,覆盖园区各生产和生活空间。拓宽红海湾大道,串联园区与市区,作为片区通勤的重要通道;利用人民路改扩建,构建红海湾第二通道,连通红海湾大道与园区中部,同时串联园区附近镇街;园区中部道路、南部狮湖路直接连通红海湾大道,便捷高效。
三是旅游通道:构建滨海旅游环线,实现客货分流,安全高效。沿南侧滨海旅游公路、县道X124、国道G236改线、省道S240、进港大道等构建具有滨海特色的旅游道路。
第九条 道路网等级结构
1.高快速路
高快速路应为城市中大量、长距离、快速交通服务,主要承担红海湾经济开发区对外的交通联系,具有通过性功能;同时承担汕尾组团间的交通联系。快速路对向车行道之间应设中间分车带,其进出口应采用全控制或部分控制。
高速路为兴汕高速,设计车速100km/h,双向4车道;快速路为G236改线,设计车速为80km/h,双向6车道。
2.主干路
主干路应为连接汕尾红海湾经济开发区各主要街道的干路,以交通功能为主。主干路两侧不应设置吸引大量车流、人流的公共建筑物的进出口。
主干路规划道路红线宽度分别为32m、36m、40m、48m和60m,对应的车道数为双向四车道、六车道、八车道,设计车速为40~60km/h。
3.次干路
次干路应与主干路结合组成道路网,起集散交通的作用,兼有服务功能。次干路服务功能应加强,沿线可分布大量的住宅、公共建筑、停车场地等服务设施。
次干路规划道路红线宽度分别为24m、25m、30m和41.5m,对应的车道数为双向四车道和六车道,设计车速为30~40km/h。
4.支路
支路应为次干路与街坊路的连接线,解决局部地区交通,以服务功能为主,主要承担短距离交通,广泛联系各地块的出入通道。支路规划道路红线宽度分别为10m、12m、15m和20m,设计车速为20~40km/h。
5.专用通道
专用通道应为园区通往港区的专用货运通道,以服务货运通行功能为主。专用通道规划道路红线宽度分别为9.5m和12m,设计车速为20~30km/h。
道路网密度表
第十条 道路交叉口规划设计
1.平面交叉口
城市主干路之间、次干路之间、主次干路之间相交的路口采用平面交叉口形式,按等级相交采取不同的控制形式。
平面交叉口控制形式
2.立体交叉口
立体交叉口规划一般分为互通立交和简易立交两大类。高速公路两两相交原则上采用互通立交,快速路与其他干道相交根据交通需求采用互通立交或简易立交。城区内部不宜建设大型互通立交,简易立交应优先考虑道路主线做跨线桥。
第三篇 竖向工程专项规划
第十一条 竖向工程规划目标
1.以“生态、安全、适用、经济、美观”为原则,为工程建设提供竖向指引。
2.因地制宜制定合理的竖向布局及开发策略。
3.整合区域内已报建项目,形成规划范围内竖向规划一张图。
第十二条 竖向工程规划总体布局
竖向规划范围划分为7个分区:田墘片区、临港片区、遮浪片区、产业园一期分区、红海湾北片区、北部生态保护区、西部生态保护区。
第十三条 城市用地竖向规划
根据规划区内用地的性质、功能,并结合自然地形、排涝排水规划要求,将城市用地竖向规划形式划分为三种:建成区、增量建设区、生态区。
1.建成区:主要维持现状高程,因地制宜优化竖向规划体系,提出相应的排水系统改造要求。
2.增量建设区:结合现状地形条件和开发要求,协同防洪排涝、排水和道路交通等规划,通过地形的合理改造和综合利用,建立完善的高程控制体系。
3.生态区:保持和延续自然地貌。
城市用地竖向规划形式统计表
第十四条 控制点标高及控制纵坡规划
1.田墘片区位于田墘街道范围内,建成区域较广,片区规划遵循“少填少挖、低影响开发”理念,规划后整体地势呈北高南低,西高东低,规划高程范围为3~19.6m,坡度范围为0~3.8%。
2.临港区域受海潮影响较大,规划标高按不低于100年一遇潮水位设计,规划后整体地势呈北高南低,西高东低,规划高程范围为5~17.8m,坡度范围为0.1~1.6%。
3.红海湾北片区受海潮影响较大,规划标高按不低于100年一遇潮水位设计,规划后整体地势呈北高南低,西高东低,规划高程范围为4.0~20m,坡度范围为0~2.6%。
4.遮浪片区位于田寮湖周边,南侧区域受海潮影响较大,规划标高按不低于100年一遇潮水位设计,规划后整体地势呈南高北低,东高西低,规划高程范围为3.5~19m,坡度范围为0~3.3%。
5.产业园一期片区按200年一遇防潮水位+最大风暴潮考虑,保障绝对安全,场地按不低于最大风暴潮设防标高为 8.8m进行规划。周边的道路高程范围为10~22m,坡度范围为0.1~1.4%。
第十五条 地坪标高规划
本次地块的地坪竖向规划设计以保留用地、维持生态、满足防洪要求和尽量减少土方工程量为主导,以满足用地开发建设的要求为依据,灵活处理地坪设计标高并进行控制规划。
1.地块的规划高程应比周边道路的最低路段高程高出0.2m以上。
2.保留山丘地形区,各组团地面形式留待组团详细规划确定。
3.填土区及挖土区地面排水坡度不小于0.1%,采用多坡向排水。
第四篇 给水工程专项规划
第十六条 给水工程规划目标
构建安全、可靠、高效、可持续且有韧性的城乡供水体系,以满足规划范围内居民及工厂企业的生活、生产用水需求。
第十七条 供水目标
1.供水管网普及率达到100%。
2.供水管网漏损率≤8%。
3.满足绿色产业园区日用水需求及相关水压要求。
4.规划区供配水管网中绝大部分用户接管点服务水头均满足28m设计要求。
第十八条 用水量预测
规划区近期总用水量取10.7万m³/d,远期总用水量取11.8万m³/d。
第十九条 供水水源
1.常规水源:红海湾片区内红海湾水厂采用宝楼水库与赤沙水库作为常用水源。
2.应急、备用水源:本地水库互为应急备用,构建多水源互为应急备用安全体系。
3.临时补充水源:将湖东水库与湖尾水库作为临时补充水源。
第二十条 供水设施规划
净水设施设置
注:现状水厂用地可满足水厂扩建用地需求,满足现行《城市给水工程规划规范》水厂用地控制指标。
第二十一条 重要输配水管道规划
1.通过赤沙水库-红海湾水厂原水工程将赤沙水库作为新增水源。
2.通过城区-红海湾主管联通工程,实现红海湾水厂与城区各水厂联合供水,提高供水安全性和稳定性。
3.沿人民路、国防路、洲湖路等敷设DN600供水干管。
第五篇 污水工程专项规划
第二十二条 污水工程规划目标
完善污水设施,综合提升城乡污水处理水平。
第二十三条 排水体制
规划区采用完全分流制。
第二十四条 污水量预测
近期平均日污水量为7.66万m³/d,远期平均日污水量8.41万m³/d。
第二十五条 污水分区规划
规划区划分为8个排水分区,分别是产业园一分区、产业园二分区、田墘分区、东洲一分区、东洲二分区、湖东分区、施公寮岛分区、遮浪分区。
第二十六条 污水处理设施规划
1.保留2座水质净化厂,新建1座污水处理设施,区域污水处理能力达到22.0万吨/日。
规划污水处理厂一览表
2.工业废水处理
除产业园区工业废水量规模较大且集中排放,其余用地工业废水规模较小,由企业预处理至符合《污水排入城镇下水道水质标准》(GB/T 31962)中的A级标准要求后,排入市政污水管网或企业内部处理达标后回用。
第二十七条 污水管道规划
1.生活污水管网
统筹污水处理设施,东部水质净化厂、汕尾红海湾绿色制造产业园污水处理设施共用一套生活污水主管。
保留红海湾大道—遮浪镇区东部水质净化厂配套d800~1800污水干管、田墘排渠旁d2000进厂主管、DN1500尾水管以及红海湾大道沿线预留接驳d400~800污水支管。现状、在建d300~600截污管部分保留,并逐步改造原有截污管。沿人民路、国防路、洲湖路等新建污水管。
2.工业废水专管
沿人民路——新兴路——田墘排洪渠南侧新建DN400工业废水专管,将产业园区预处理后的工业废水输送至工业废水处理单元进行处理。
第二十八条 再生水规划
推进东部水质净化厂尾水计划用于石鼓山公园生态补水、红海湾电厂工业用水等,最终于施公寮岛东部排海。鼓励再生水用于市政道路浇洒、消防应急用水等。鼓励园区利用非常规水资源,提高水资源利用率。
第六篇 雨水工程专项规划
第二十九条 雨水工程规划目标
改善水环境状况,建成完善的雨水系统,优化区域生态环境。
第三十条 防洪排涝标准
1.防洪(潮)标准:规划区海堤工程主要包括内湖海堤、白沙湖海堤、湖东海堤与田寮海堤等,各海堤设计防潮标准均为50年一遇。防洪标准采用50年一遇设防,防山洪标准采用20年一遇。 绿色制造产业园区域防潮标准建议按200年一遇设计。
2.内涝防治标准:规划内涝防治设计重现期按30年一遇。
3.治涝标准:城镇范围采用10年一遇24小时暴雨不致灾;乡村范围采用10年一遇24小时暴雨1天排干;农田等其他范围采用 10 年一遇24小时暴雨3天排干。
第三十一条 设计参数
规划区一般地区雨水管渠设计重现期采用3年,低洼及重要区域采用3~5年。
第三十二条 雨水量计算
规划雨水量按以下公式计算:
Q=qψF
式中:Q——雨水设计流量(L/s);
q——设计暴雨强度(L/s·ha);
ψ——径流系数;
F——汇水面积(ha)。
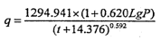
第三十三条 暴雨强度
本次规划采用汕尾城区暴雨强度公式:

式中:Q——雨水设计流量(L/s);
P——重现期,一般地区采用3年,低洼及重要区域采用3~5年;
t——降水时间,t=(t1+t2)。地面集雨时间t1取10分钟。
第三十四条 雨水系统分区
根据红海湾经济开发区竖向专项规划、防洪排涝规划,规划范围雨水走向与规划前基本保持一致,根据规划竖向、水系情况切分为11个雨水分区。
雨水分区一览表
第三十五条 雨水管道设计
1.就近分散排放、沿道路坡度敷设,降低覆土埋深。道路宽度大于等于40米则双侧布置管线(红海湾大道采用双侧布管)。
2.雨水管管径介于dn600-dn2000之间、雨水箱涵尺寸介于BxH=1800x1200~2400x2000之间。
3.雨水能直接排入河涌的,截洪沟应尽可能直接与河涌连通,无法直接排入河涌的才接入市政雨水管道中。如果截洪沟截流雨水必须通过市政雨水管道排入河涌,需将该部分雨水量纳入设计管道计算中。截洪沟与雨水管道连接点和位置应在进行地区控制性规划时结合该地区的防洪排涝规划具体考虑。
4.保留4处在建排涝泵站(地势低洼处)作为地块雨水的强排措施。
第三十六条 易涝区雨水排放
1.重视和加强河道的管理和清疏,加快河涌改造和整治。
2.局部低洼地块需增设强排措施,将雨水抽升至市政雨水管道系统。
3.相关管理部门应加强该区域的管道清疏和附近地区的卫生管理,减少泥沙和垃圾堵塞管道和雨水口。
第三十七条 海绵城市
汕尾市包含6个海绵管控分区,其中红海湾组团分区年径流总量控制率为57%。规划将红海湾组团分区细化为5个海绵管控分区,年径流总量控制率55%~70%之间。
结合海绵城市的建设发展,推广透水技术,可通过蓄水池、立体绿化等设施收集雨水,就地利用。
第七篇电力工程专项规划
第三十八条 电力工程规划目标
1.以“城市建设,电力先行,适度超前”为原则,科学预测用电负荷,实现供需平衡。
2.综合电网结构与城市建设,近远结合,统筹布局,合理落实各级变电站与高压走廊,实现电网典型接线率达到90%以上。
3.充分利用现状资源,积极发展新能源与储能技术,建设技术先进、安全可靠、绿色清洁的现代化城市智能电网体系。
第三十九条 负荷预测
预测至2035年红海湾片区(产业园除外)最大用电负荷为101.3MW,根据产业园用户反馈需求,产业园一期、二期范围未来总用电负荷需求为350MW,预测红海湾片区远期最大用电总负荷为451.3MW。
第四十条 供电电源
红海湾发电厂现状装机容量为2×600+2×660MW,目前正在进行二期扩建工程,二期新增装机容量2×1000MW, 上网电压采用500kV,经500kV茅湖站、 深汕站上网,红海湾片区主要上级电源为位于海丰县的500kV茅湖站。
第四十一条 变电站规划
规划新建220kV变电站1座(红海站),新建110kV变电站8座(包括3座自建用户变电站),至规划末期,红海湾片区范围共布局220kV变电站1座, 110kV变电站10座(包括3座自建用户变电站)。
变电站规划一览表
备注:规划220kV变电站按4台主变预留用地;规划110kV变电站均按3台主变预留用地。
第四十二条 高压电网规划
1.500kV电网规划
推进500kV汕尾电厂二期接入系统线路建设、500kV红茅甲乙线迁改工程建设。将现状2回500kV红茅甲乙架空线路迁出产业园二期范围,同步新建汕尾电厂二期送出线路。
2.220kV电网规划
推进220kV红海输变电工程建设。220kV红海站规划新建2回220kV架空线至500kV茅湖站,新建2回220kV架空线至220kV安竹变电站,规划220kV电力线路采用同塔双回架空敷设。
3.110kV电网规划
推进110kV安东甲乙线、安遮甲乙线迁改工程。将现状4回110kV架空线路迁出至产业园区外北侧绕行,采用架空线和电缆方式敷设。
推进110kV田墘、顺岛、望海、麻海、寮湖输变电工程建设,红海湾区域110kV电网结合新建、现状220kV变电站构建红海==望海==寮湖==顺岛==安竹、红海==麻海==安竹、红海==田墘==安竹的双回链式结构,形成经济、高效、智能的区域输配电网络。
第四十三条 高压线路走廊控制
新建高压架空线路宜采用钢管杆、铁塔沿道路绿化带、绿地架设,严格控制高压线路廊道, 500kV架空线路走廊控制宽度为75米,220kV架空线路走廊控制宽度为40米,110kV架空线路走廊控制宽度为25米。
110kV电压等级线路采用电缆敷设时, 110kV 电缆沟预留宽度控制标准:双回(1.2米)、四回(2.2米)、六回(3米)、八回(4.5米)。
第四十四条 中压电网规划
1.近期根据新建、改扩建道路同步完善电力管网,新建的10kV电力线路可采用电缆沟或电缆排管的敷设方式,一般沿道路的东侧、南侧的人行道下敷设,在环形道路下,沿环路的外环人行道敷设。
2.远期中压配电网全面实现电缆化,要求所有市政道路均留有足够的电力电缆通道。规划迁改、新建的10kV线路均采用电缆线路敷设在电力管沟内,现有10kV架空线路应视条件逐步改造成电缆线路。
第四十五条 近期建设规划
1.近期变电站规划
规划新增1座220kV红海变电站,邻近产业园区范围外西侧布置,终期主变容量4×240MVA。规划近期新增3座110kV用户变电站,规划的3座用户站在产业园区范围内布置,由产业园用户建设。
2.近期高压线路规划
加快推进现状500kV红茅甲乙线迁改工程、现状110kV安东甲乙线和110kV安遮甲乙线迁改工程。
推进220kV红海站输变电工程建设,推进3座产业园用户站输变电工程建设。
3.近期中压电网规划
结合道路近期建设计划,同步建设10kV中压电力管(沟)通道,一般沿道路的东侧、南侧的人行道下敷设,将涉及产业园一期、二期范围的现状10kV架空线路迁出,保障产业园用地布局完整。
第八篇 通信工程专项规划
第四十六条 通信工程规划目标
1.高速互联,安全稳定
持续推进光纤骨干网和移动通信网演进和服务能力升级,加快推动形成“万兆园区、千兆入户、5G网络全覆盖”的高速网络格局。
2.集约共享,绿色经济
在满足用户自由接入的条件下实现通信基础设施统筹建设,设施共建共享率达到95%以上,集约集聚构建互通共享的通信基础设施。
3.数智赋能,融合应用
构建由片区边缘计算数据中心和各企业机房形成的数据设施体系,建设智慧城市通信基础设施支撑体系。
第四十七条 通信需求量预测
预测规划区域通信用户需求数量如下表:
第四十八条 通信设施规划
1.数据中心规划
规划在东洲街道新增数据机房1座,按街道级数据中心规模建设,规划机架小于120个,预留建筑面积约500平方米;鼓励规划区内企业数据中心及运营商数据机房建设,形成多元算力体系,重点服务于数字政务、城市管理、智慧市政、智造产业、民生服务等领域。
2.通信机楼规划
规划近期新建1座红海湾通信机楼,占地面积1003平方米,推进各类通信设施统筹共建,规划机楼主要用于集中建设各运营商通信传输机房、边缘数据中心、有线电视分前端机房及邮政局所。
3.通信机房规划
保留现状通信汇聚机房,新增汇聚机房与规划通信机楼合建;规划近期拆除红海湾绿色制造产业园一期内部2座现状通信接入机房,新建2座通信接入机房,规划远期新建3座通信接入机房,按需建设产业园专用通信接入机房,通信机房每座预留建筑面积150-200平方米,优先采用多运营商共建共享方式建设(产权相互独立)。
4.有线电视分前端机房规划
规划区内已有3座有线电视分前端机房,规划新增红海湾分前端机房1座,与红海湾通信机楼合建,预留建筑面积约200平方米。
5.邮政设施规划
规划保留现有邮政局所,按区域服务需求新增邮政所。邮政所需建筑面积为200-300平方米,宜附设于交通便利的公共建筑物或商业建筑首层。
第四十九条 移动通信网络规划
移动通信网络规划应采用“尊重现状,统一规划,重点区域网络覆盖一步到位,其他区域滚动发展”的建设方式。本次规划开展全域基站5G化改造及偏远镇村通信深度覆盖,形成“宏基站为主,微基站为辅”的基站节点覆盖模式。
规划新建宏基站240基,其中包含重点园区通信优化方案新建基站40座;因地制宜结合高层建筑与道路智慧灯杆布局微小基站。
第五十条 通信管网规划
1.通信管道路由及敷设规模
结合道路规划布局通信管道,各级管道数量为4-26孔不等,管径采用DN110大管。
2.近期通信线路迁改规划
规划区近期重点迁改范围为红海湾绿色制造产业园一期、二期,其余迁改范围包括新兴路、洲湖路、国防路、连港路、人民路、进港大道、通港大道、红海湾大道(局部)、滨海旅游公路(一期)、狮湖路、环湖路、田湖路沿线。迁改范围内架空光缆统一迁改至新建通信排管;现状通信管道(或其他管线)不具备迁改条件的可保留现状,与道路建设存在冲突的或不满足使用需求的均拆除改造至新建通信排管。
第五十一条 新型基础设施体系建设
1.通信网络基础设施建设
推进千兆光纤与5G高速网络建设;推进工业企业内网、外网升级。
2.数据基础设施建设
统筹大数据中心、边缘计算中心、通信计算机房等算力设施集约协同建设;推进公共服务平台与人工智能服务平台构建。
3.融合基础设施建设
推进“五网”设施(路网、水网、电网、气网、光网)与新一代信息技术融合发展;加强防灾减灾领域智能化设施建设,重点实现消防报警系统、地震预警系统与传统基础设施数据实现采集汇聚、共享交换及跨系统业务协同。
4.创新基础设施建设
以智能制造、绿色能源、物流仓储等核心产业技术研究及科技成果转化为重点、落实重点实验室、科技创新中心,产业创新服务平台等科创设施集群。
第九篇 燃气工程专项规划
第五十二条 规划目标
构建全面覆盖的天然气清洁能源体系,保障燃气供应的安全与稳定,强化区域能源协同与基础设施互联。
第五十三条 气源选择
1.近期气源
近期天然气气源由汕尾市区LNG气化站和规划区新建的LNG气化站(含调压站)提供。
2.远期气源
远期天然气气源主要由规划区新建LNG气化站(含调压站)提供。
第五十四条 用气量预测
1.主要用气指标
居民用气标准为2200MJ/人·a,居民用气按70%的普及率进行预测。
2.用气量预测
预测规划区天然气用气量为2.20亿Nm³/a,平均日用气量为60.34万Nm³/d,高峰小时用气量为2.80万Nm³/h。
第五十五条 供气方案
规划近期新建LNG气化站(含调压站),用地规模约3.7公顷。其中LNG气化站储气规模为8×150m³,供气量为2万Nm³/h;高中压调压站供气量为5万m³/h,从陶河门站高压专管接入高中压调压站,降压后在规划范围内实现燃气中压管网联网,调压站建成后LNG气化站作为应急气源进行调峰储气。规划同时衔接在建的沿红海湾大道从汕尾城区连接至规划区的中压管道。
第五十六条 设计压力
规划高压管道设计压力为4MPa,中压管网设计压力为0.4MPa。
第五十七条 液化石油气规划
规划近期继续保留现有液化石油气储配站,并对其进行消防安全整顿。远期及远景取消液化石油气供应。
第五十八条 燃气安全
1.高中压调压站
最小保护范围为围墙内的区域;最小控制范围为围墙外25米的区域。
2.高压燃气管道
最小保护范围为外缘周边5米范围内的区域;最小控制范围为外缘周边5米~50米范围内的区域。
3.中压燃气管道
最小保护范围为外缘周边0.5米范围内的区域;最小控制范围为外缘周边0.5米~5米范围内的区域。
第十篇 消防工程专项规划
第五十九条 消防工程规划目标
消防规划目标:构建与城市发展相适应、符合防灾减灾要求的现代消防体系,提升火灾防控和应急救援能力,最大限度保障人民生命财产安全,维护公共安全和社会稳定。
第六十条 消防站布局规划
规划将现状消防站进行升级改造,并建设2座一级普通陆上消防站与1座水上消防站。
规划消防站一览表
第六十一条 消防装备规划
1.消防人员配备
规划1#消防站配备36名消防人员,另需配备行政后勤保障人员、队长、指导员、副队长4人,即定员40人。
规划2#消防站配备36名消防人员,另需配备行政后勤保障人员、队长、指导员、副队长4人,即定员40人。
规划水上消防站配备24名消防人员,另需配备行政后勤保障人员、队长、指导员、副队长4人,即定员28人。
2.消防装备规划
规划1#消防站配备6辆消防车。
规划2#消防站配备6辆消防车。
规划水上消防站配备趸船1艘、消防艇2艘、指挥艇1艘。
第六十二条 消防供水规划
1.消防水量预测
同一时间发生火灾次数2起,一次灭火用水量45L/s来确定消防供水标准
2.水源规划
天然水源包括田寮湖、湖尾水库等淡水水源及附近海域。人工水源包括市政供水管网水源。
3.消防供水管网规划
消防供水与生产、生活给水共用一套管网系统,规划沿主要道路新建DN200-600输水管道。
4.市政消火栓建设规划
市政消火栓沿道路设置,间距不大于120m,保护半径不大于150m。
5.取水点规划
每个消防站辖区设置至少一处天然水源或人工水体取水点,并设置消防车取水通道。本次规划4处自然水体消防取水点。
第六十三条 消防疏散避难系统规划
1.应急避难场所规划
利用现有的规划建设公园、绿地、体育场、院校等空旷地区,建立布局合理的避难场所体系。规划区内设置21处应急避难场所,人均疏散面积不小于2平方米/人。
2.消防通道规划
规划将主要满足城市消防出警快速和远距离增援需要的区域性道路划为一类消防通道,主要包括红海湾大道、连港路、兴汕高速与G236。
将负担红海湾片区各街道消防站点责任区内部和临近责任区的消防出警任务的主次干道划为二类消防通道,主要包括国防路、洲湖路、人民路、狮湖路、滨海旅游公路、田湖路等。
第十一篇环卫工程专项规划
第六十四条 环卫工程规划目标
结合国土空间规划及红海湾绿色制造产业园建设,建立“分类投放、分类收集、分类运输、分类处理”的城乡生活垃圾收运处理系统,构建适宜红海湾经济开发区发展的全链条城乡垃圾收运处理体系。
第六十五条 生活垃圾产量预测
规划区人均生活垃圾产量取1.14千克/(人·日),红海湾绿色制造产业园人均生活垃圾产量取0.57千克/(人·日)。规划区内生活垃圾最高日产量约195.8吨/日,其中红海湾绿色制造产业园生活垃圾最高日产量约53.3吨/日。
第六十六条 其他固体废弃物产量预测
预测规划区餐厨垃圾清运量为92.4吨/日。预测规划区建筑垃圾年产量为16.7万吨/年。
第六十七条 生活垃圾收运规划
规划区收运模式采用二次转运模式,源头生活垃圾→小型生活垃圾转运站→中型生活垃圾转运站→汕尾市生活垃圾无害化处理中心。红海湾绿色制造产业园内生活垃圾需自行收集到产业园内生活垃圾收集站后,直接运往汕尾市生活垃圾无害化处理中心进行处理。
第六十八条 生活垃圾转运站建设规划
规划保留现状2座小型生活垃圾转运站,新建1座中型生活垃圾转运站和1座小型生活垃圾转运站。
规划生活垃圾转运站一览表
第六十九条 生活垃圾处理设施规划
规划区内生活垃圾经生活垃圾转运站压缩后运往汕尾市生活垃圾无害化处理中心进行无害化处理。汕尾市生活垃圾无害化处理中心总处理规模2100吨/日,满足规划区生活垃圾处理需求。
第七十条 餐厨垃圾收运处理规划
餐饮垃圾采用直收直运模式,由餐厨垃圾运输车直接运往红海湾综合垃圾转运站(含红海湾经济开发区餐厨垃圾处理设施)进行资源化处理。其他厨余垃圾采用二次分拣模式,经由垃圾收集车运往小型生活垃圾转运站进行二次分拣压缩,再由餐厨垃圾运输车运至红海湾综合垃圾转运站(含红海湾经济开发区餐厨垃圾处理设施)进行资源化处理。
第七十一条 建筑垃圾收运处理规划
规划区内的建筑垃圾运往红海湾综合垃圾转运站(含建筑垃圾转运调配场)进行临时调配,最后统一运往汕尾市建筑垃圾综合利用厂进行资源化处理。
第七十二条 工业固体废弃物和危险废弃物收运处理规划
红海湾绿色制造产业园内工业固体废弃物和危险废弃物委托有危废经营许可资质的专业公司进行单独运输,统一进行无害化处理。区内其他危险废弃物收集至红海湾综合垃圾转运站(含危险废弃物暂存点)后集中运往广东金东环境科技产业园进行无害化处理。
第七十三条 大件垃圾收运处理规划
规划在红海湾综合垃圾转运站内建设大件垃圾分拣站,对规划区大件垃圾进行分拣破碎处理,将破碎后的垃圾运至汕尾市生活垃圾无害化处理中心进行焚烧处理。
第七十四条 公共厕所规划
规划新建公共厕所55座,新建公共厕所全部达到二类标准以上,滨海旅游区域可按一类标准以上进行建设。
第七十五条 环卫停车场规划
规划在红海湾综合垃圾转运站配建环卫停车场。
第七十六条 农村配套设施设备规划
每户至少配2个垃圾分类容器,农户在家将厨余垃圾和其他垃圾分别投放到两个垃圾分类容器中,自行或由村里保洁人员统一收集运送至垃圾收集点。规划确保每个自然村配置不少于一个垃圾收集点,确保生活垃圾日产日清。建议农村垃圾收集车具体数量根据村的实际情况确定,每辆电动三轮车的服务半径约为2公里,人口为500人。
第十二篇 管线综合专项规划
第七十七条 工程管线从道路红线向道路中心线方向平行布置的次序宜为:电力、通信、给水(配水)、燃气、给水(输水)、污水、雨水。单侧布管时从道路红线向道路中心线方向原则上按通信、燃气管、雨水的顺序,依次排列在路西侧或路北侧;按电力、给水(配水) 、给水(输水) 、污水的顺序依次排列在路东侧和路北南侧。尽可能布置在人行道、非机动车道下,部分特殊道路可结合规划需求优化管线位置。
第七十八条 地下管线之间及其与建(构)筑物最小水平净距应满足《城市工程管线综合规划规范》(GB50289)要求。
第七十九条 工程管线交叉敷设时,管线自地表面向下的排列顺序宜为:通信、电力、燃气、给水、雨水、污水。
第八十条 工程管线的最小覆土深度应符合规范要求。当受条件限制不能满足要求时,可采取安全措施减少其最小覆土深度。
第八十一条 工程管线交叉时,垂直净距应符合规范要求。当工程管线竖向位置发生矛盾时,宜按下列规定处理:
1.压力管线让重力自流管线;
2.可弯曲管线让不易弯曲管线;
3.分支管线让主干管线;
4.小管径管线让大管径管线。
第八十二条 工业废水专管、工业燃气专管等专用管线的布置,除满足《城市工程管线综合规划规范》(GB50289)外,还应满足相关行业标准规范要求。
附表:近期建设计划项目库
注:1.根据《汕尾市国土空间总体规划(2020-2035年)》的用地布局,衔接其他相关规划和近期重点建设项目,围绕红海湾经济开发区总体发展需要以及近期绿色制造产业园建设和投产需求,根据项目建设紧迫性,将近期建设计划分为两期实施。
2.一期(2025年~2026年),基础保障;二期(2026年~2027年),完善提升。近期推进建设项目共计35个。一期24个:道路工程8个、市政设施16个;二期11个:道路工程8个、市政设施3个。
3.项目库内未列明的道路及市政设施,在本规划期内可结合城市发展需要及交通运行情况等进行新建或改扩建。
附件:《汕尾红海湾经济开发区市政专项规划(2025-2035年)》(公开版) 图集(部分)

